Calculating the Energy
2. The Magic Formula (Don't Be Scared!)
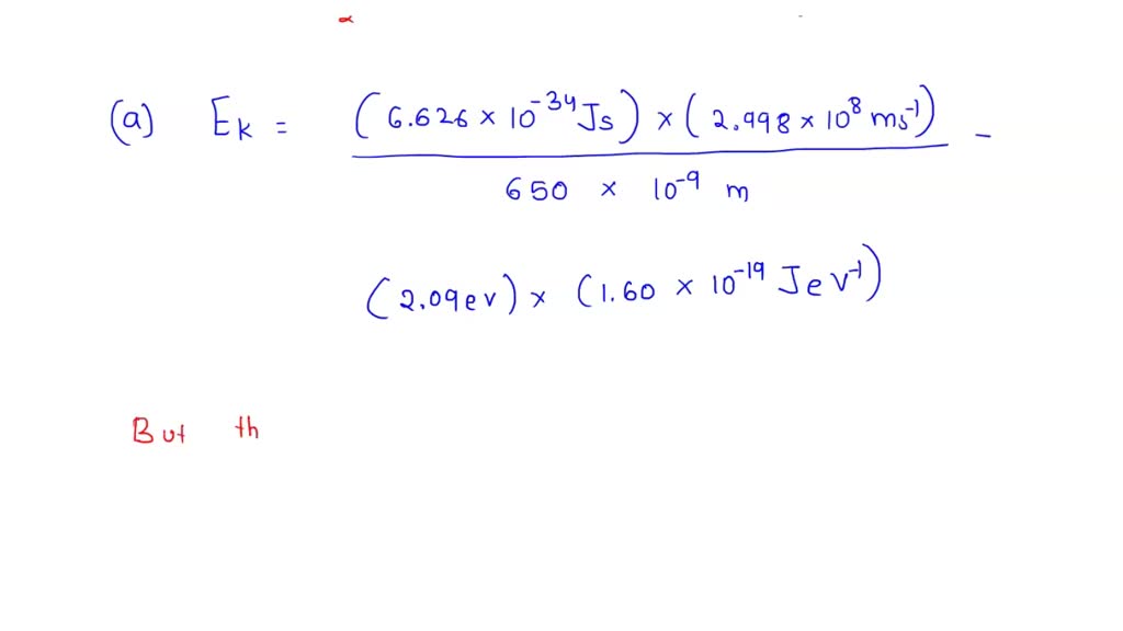
Alright, time for a little science. The formula we use to calculate the energy of a photon (a single particle of light) is: E = hc/. Where: E is the energy, h is Planck's constant (a fundamental constant of nature, about 6.626 x 10-34 joule-seconds), c is the speed of light (approximately 3 x 108 meters per second), and (lambda) is the wavelength (in meters). That might seem intimidating, but trust me, it's easier than parallel parking.
First, we need to convert our 650nm to meters. Remember, "nano" means billionth, so 650nm is 650 x 10-9 meters, or 0.000000650 meters. Now, we plug everything into our formula: E = (6.626 x 10-34 Js 3 x 108 m/s) / 0.000000650 m. Crunching those numbers (you can use a calculator, no one's judging!), we get approximately 3.06 x 10-19 Joules.
So, the energy of a single photon of 650nm light is about 3.06 x 10-19 Joules. That's a tiny amount of energy, right? It is! But remember, even a little red laser pointer is emitting billions of these photons every second. That's how it adds up to a visible beam of light.
It's also worth noting that this energy is for one photon. If you want to know the total energy of a beam of 650nm light, you'd need to know how many photons are in that beam. Think of it like knowing the energy of one grain of sand versus the energy of an entire sand dune. Big difference!
Why Does This Energy Value Matter?
3. Applications of 650nm Light
Okay, so we know the energy of 650nm light. Great. But what does that actually mean for anything? Well, this specific wavelength is used in a surprisingly wide range of applications. One common example is red laser pointers, as we already mentioned. The low energy of the red light makes it relatively safe (though you should still never* shine it in someone's eyes!).
Another big application is in red light therapy (RLT), also sometimes called photobiomodulation. The idea behind RLT is that the 650nm wavelength (and others in the red and near-infrared range) can stimulate cells, potentially promoting healing, reducing inflammation, and even improving skin health. It's like giving your cells a little energy boost! Of course, the science is still evolving, but early results are promising.
And let's not forget about barcode scanners! Many barcode scanners use 650nm lasers to read the black and white lines of barcodes. The laser reflects differently off the black and white surfaces, allowing the scanner to decode the information. It's a simple but ingenious application of this particular wavelength.
Finally, plants use light within this range for photosynthesis. Chlorophyll, the pigment that makes plants green, absorbs red and blue light most effectively. So that 650nm light is actually helping plants grow! See? This wavelength is more important than you might have thought.